Alın Levhalı Kayma Birleşimi
Alın levhalı birleşim, profilin gövdesine kaynakla mesnete bulonla bağlı olan bir moment aktarmayan birleşim (kayma birleşimi) tipidir. Bulon kontrolü, kaynak kontrolü ve levha kontrolü birleşimin elemanlarının yerleşimine göre otomatik yapılır. Tek kayma levhalı birleşim tasarımı Çelik Yapıların Tasarım, Hesap ve Yapım Esasları (ÇYTHYEDY) (GKT ve YDKT) veya AISC 360-16 (ASD ve LRFD) yönetmeliklerine göre otomatik yapılır ve birleşim raporu oluşturulur.
Alın levhalı birleşim hesabında, geometri kontrolü olarak bulonlar arası mesafe kontrolü, yatay ve düşey kenar mesafe kontrolü, kaynak kalınlığı kontrolü, montaj stabilitesi kontrolleri yapılır. Dayanım kontrolü olarak, mesnet bulonlarında kayma, mesnet profili ve levha bulon deliğinde ezilme, kiriş ve levha kayma kayması, kiriş ve levha kayma kırılması, levha blok kayma, kaynak dayanımı kontrolleri yapılır.
Birleşim Geometrisi



Geometri Kontrolü
Bulonlar arası mesafe
smin ≥ 3d | ÇYTHYEDY 13.3.6 |
|
|
s | 60 mm |
|
|
d | 20 mm | s =60 mm > smin = 3*16=48 mm | √ |
Yatay Kenar Mesafesi
Leh ≥ Le- min | ÇYTHYEDY 13.3.7 |
|
|
Leh | 40 mm | Leh ≥ 2d=2*16=32 mm uygulama için uygunluk kontrolü | √ |
Le- min | 22 mm | Tablo 13.9 gereği minimum uzaklık kontrolü | √ |
Düşey Kenar Mesafesi
Lev ≥ Le- min | ÇYTHYEDY 13.3.7 |
|
|
Lev | 40 mm | Leh ≥ 2d=2*16=32 mm uygulama için uygunluk kontrolü | √ |
Le- min | 22 mm | Tablo 13.9 gereği minimum uzaklık kontrolü | √ |
Kaynak Kalınlığı
a ≥ a min | ÇYTHYEDY 13.3.7 |
|
|
a | 5 mm |
| √ |
a min | 3.5 mm | Tablo 13.4 | √ |
Montaj Stabilitesi
L ≥ hb / 2 | ÇYTHYEDY 13.3.7 |
|
|
L | 150 mm |
|
|
hb | 190.4 mm | L=150 > 190.4/2=95.2 mm | √ |
Dayanım Kontrolleri
Mesnet Bulonda Kayma
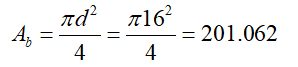
Ab | ![]() |
|
Fnv | ![]() |
|
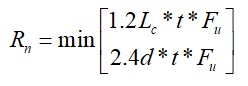
Rn | ![]() | ÇYTHYEDY 13.10b |
Rn/Ω | ![]() |
|
Gereken | Hazır | Oran | Kontrol |
|---|---|---|---|
31.564 kN | 144.765 kN | 0.218 | √ |
Mesnet Bulon Deliğinde Ezilme
dh | 16+2=18 mm |
|
Rn | ![]() | ÇYTHYEDY 13.3.13 Denklem 13.14a ve13.14b |
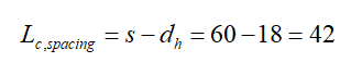
Lc,spacing | ![]() |
|
Rn-spacing | ![]() |
|
Rn/Ω | ![]() |
|
Gereken | Hazır | Oran | Kontrol |
|---|---|---|---|
31.564 kN | 197.853 kN | 0.160 | √ |
Levha Bulon Deliğinde Ezilme
dh | 16+2=18 mm |
|
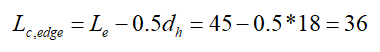
Lc,edge | ![]() |
|
Rn | ![]() | ÇYTHYEDY 13.3.13 Denklem 13.14a ve13.14b |
Rn-edge | ![]() |
|
Lc,spacing | ![]() |
|
Rn-spacing | ![]() |
|
Rn | ![]() |
|
Rn/Ω | ![]() |
|
Gereken | Hazır | Oran | Kontrol |
|---|---|---|---|
31.564 kN | 334.399 kN | 0.094 | √ |
Kiriş Kayma Akması
Ag | ![]() |
|
Fy | 235.359 N/mm2 |
|
Rn | ![]() | ÇYTHYEDY 13.17 |
Rn/Ω | ![]() |
|
Gereken | Hazır | Oran | Kontrol |
|---|---|---|---|
31.564 kN | 122.166 kN | 0.258 | √ |
Levha Kayma Akması
Ag | ![]() |
|
Fy | 235.359 N/mm2 |
|
Rn | ![]() | ÇYTHYEDY 13.17 |
Rn/Ω | ![]() |
|
Gereken | Hazır | Oran | Kontrol |
|---|---|---|---|
31.564 kN | 338.77 kN | 0.093 | √ |
Levha Kayma Kırılması
Anv | ![]() |
|
Fu | 362.846 N/mm2 |
|
Rn | ![]() | ÇYTHYEDY 13.18 |
Rn/Ω | ![]() |
|
Gereken | Hazır | Oran | Kontrol |
|---|---|---|---|
31.564 kN | 287.374 kN | 0.110 | √ |
Levhada Blok Kayma
Ag | ![]() |
|
Anv | ![]() |
|
Ant | ![]() |
|
Fy | 235.359 N/mm2 |
|
Fu | 362.846 N/mm2 |
|
Ubs | 1 |
|
| ![]() |
|
Rn | ![]() | ÇYTHYEDY 13.19 |
Rn/Ω | ![]() |
|
Gereken | Hazır | Oran | Kontrol |
|---|---|---|---|
31.564 kN | 308.556 kN | 0.102 | √ |
Kaynak Dayanımı
Fe | 480000 kN/m2 |
w | Birleşim menüsünden alınan kaynak kalınlığı 0.707*w değeridir. 5/0.707=7.07 mm |
Fu | 362.846 N/mm2 |
t | 6.2 mm |
l | 135.856 mm |
Rnw | ![]() |
RnBM | ![]() |
Rn | ![]() |
Rn/Ω | ![]() |
Gereken | Hazır | Oran | Kontrol |
|---|---|---|---|
31.564 kN | 91.688 kN | 0.344 | √ |
Sonraki Konu
İlgili Konular
































