Tek Köşebentli Birleşim
Tek köşebentli birleşim, iki profili birbirine bir adet köşebent (korniyer veya L profil) ile bağlayan birleşim türüdür. Bulon kontrolü, kaynak kontrolü ve levha kontrolü birleşimin elemanlarının yerleşimine göre otomatik yapılır. Tek köşebentli birleşim tasarımı Çelik Yapıların Tasarım, Hesap ve Yapım Esasları (ÇYTHYEDY) (GKT ve YDKT) veya AISC 360-16 (ASD ve LRFD) yönetmeliklerine göre otomatik yapılır ve birleşim raporu oluşturulur.
Tek köşebentli levhalı birleşim hesabında, geometri kontrolü olarak bulonlar arası mesafe kontrolü, yatay ve düşey kenar mesafe kontrolü, kaynak kalınlığı kontrolü, montaj stabilitesi kontrolleri yapılır. Dayanım kontrolü olarak, köşebent kayma akması, kiriş ve köşebent kayma kırılması, kiriş ve köşebentte blok kayma, kiriş ve köşebent bulon deliklerinde ezilme, kiriş bulonunda kayma, kaynak dayanımı kontrolleri yapılır.
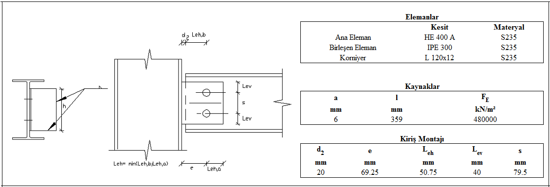
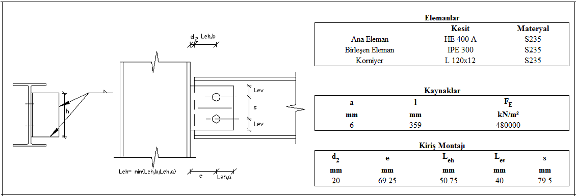
Birleşim Geometrisi



GEOMETRİ KONTROLLERİ
Bulonlar arası mesafe
smin ≥ 3d | ÇYTHYEDY 13.3.6 |
|
|
s | 79.5 mm |
|
|
d | 20 mm | s =79.5 mm > smin = 3*20=60 mm | √ |
Yatay Kenar Mesafesi
Leh ≥ Le- min | ÇYTHYEDY 13.3.7 |
|
|
Leh | 50.75 mm | Leh ≥ 2d=2*20=40 mm uygulama için uygunluk kontrolü | √ |
Le- min | 26 mm | Tablo 13.9 gereği minimum uzaklık kontrolü | √ |
Düşey Kenar Mesafesi
Lev ≥ Le- min | ÇYTHYEDY 13.3.7 |
|
|
Lev | 40 mm | Leh ≥ 2d=2*20=40 mm uygulama için uygunluk kontrolü | √ |
Le- min | 26 mm | Tablo 13.9 gereği minimum uzaklık kontrolü | √ |
Kaynak Kalınlığı
a ≥ a min | ÇYTHYEDY 13.3.7 |
|
|
a | 6 mm | √ | |
a min | 3.5 mm | Tablo 13.4 | √ |
Montaj Stabilitesi
L ≥ hb / 2 | ÇYTHYEDY 13.3.7 |
|
|
L | 239 mm |
|
|
hb | 248.6 mm | L=239 > 248.6/2=124.3 mm | √ |
Dayanım Kontrolleri
Köşebent Kayma Akması
Ag | ![]() |
|
Fy | 235.359 N/mm2 |
|
Rn | ![]() | ÇYTHYEDY 13.17 |
Rn/Ω | ![]() |
|
Gereken | Hazır | Oran | Kontrol |
|---|---|---|---|
93.805 kN | 270 kN | 0.347 | √ |
Kiriş Kayma Kırılması
Anv | ![]() |
|
Fu | 362.846 N/mm2 |
|
Rn | ![]() | ÇYTHYEDY 13.18 |
Rn/Ω | ![]() |
|
Gereken | Hazır | Oran | Kontrol |
|---|---|---|---|
93.805 kN | 176.213 kN | 0.532 | √ |
Kirişte Köşebent Kayma Kırılması
Anv | ![]() |
|
Fu | 362.846 N/mm2 |
|
Rn | ![]() | ÇYTHYEDY 13.18 |
Rn/Ω | ![]() |
|
Gereken | Hazır | Oran | Kontrol |
|---|---|---|---|
93.805 kN | 218.143 kN | 0.43 | √ |
Kiriş Köşebentte Blok Kayma
Ag | ![]() |
|
Anv | ![]() |
|
Ant | ![]() |
|
Fy | 235.359 N/mm2 |
|
Fu | 362.846 N/mm2 |
|
Ubs | 1 |
|
| ![]() |
|
Rn | ![]() | ÇYTHYEDY 13.19 |
Rn/Ω | ![]() |
|
Gereken | Hazır | Oran | Kontrol |
|---|---|---|---|
93.805 kN | 252.971 kN | 0.371 | √ |
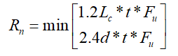
Kiriş Bulon Deliğinde Ezilme
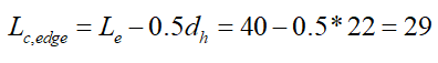
dh | 20+2=22 mm |
|
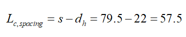
Lc,edge | ![]() |
|
Rn | ![]() | ÇYTHYEDY 13.3.13 Denklem 13.14a ve13.14b |
Rn-edge | ![]() |
|
Lc,spacing | ![]() |
|
Rn-spacing | ![]() |
|
Rn |
![]() |
|
Rn/Ω | ![]() |
|
Gereken | Hazır | Oran | Kontrol |
|---|---|---|---|
93.805 kN | 185.487 kN | 0.506 | √ |
Kiriş Köşebent Bulon Deliğinde Ezilme
dh | 20+2=22 mm |
|
Lc,edge | ![]() |
|
Rn | ![]() | ÇYTHYEDY 13.3.13 Denklem 13.14a ve13.14b |
Rn-edge | ![]() |
|
Lc,spacing | ![]() |
|
Rn-spacing | ![]() |
|
Rn | ![]() |
|
Rn/Ω | ![]() |
|
Gereken | Hazır | Oran | Kontrol |
|---|---|---|---|
93.805 kN | 284.75 kN | 0.329 | √ |
Kiriş Bulonda Kayma
Ab | ![]() |
Fn | ![]()
|
Rn | ![]()
|
Rn/Ω | ![]()
|
Gereken | Hazır | Oran | Kontrol |
|---|---|---|---|
51.448 kN | 56.549 kN | 0.910 | √ |
Mesnet Kaynağı Dayanımı
Fe | 480000 kN/m2 |
w | Birleşim menüsünden alınan kaynak kalınlığı 0.707*w değeridir. 6/0.707=8.487 mm |
Fu | 362.846 N/mm2 |
t | 12 mm |
Rnw | ![]() |
RnBM | ![]() |
Rn | ![]() |
Rn/Ω | ![]() |
Gereken | Hazır | Oran | Kontrol |
|---|---|---|---|
342.216 kN/m | 864 kN/m | 0.396 | √ |
Sonraki Konu
İlgili Konular

































