Bilgilendirme Eki 4A Detaylı Açıklama
SİMGELER
D = Dayanım Fazlalığı Katsayısı
fd(µ,T) = Öngörülen süneklik kapasitesi ve periyoda bağlı olarak taşıyıcı sistemin sahip olması gereken tasarım dayanımı
fe(T) = Taşıyıcı sistem için hesaplanan doğrusal (elastik) dayanım talebi
fy(µk,T) = Öngörülen süneklik kapasitesi ve periyoda bağlı akma dayanımı
I = Bina Önem Katsayısı
R = Taşıyıcı Sistem Davranış Katsayısı
Ra(T ) = Öngörülen süneklik kapasitesi ve periyoda bağlı Deprem Yükü Azaltma Katsayısı
Ry(µk,T) = Öngörülen süneklik kapasitesi ve periyoda bağlı Akma Dayanımı Azaltma Katsayısı
T = Doğal titreşim periyodu [s]
TB = Yatay elastik tasarım ivme spektrumu köşe periyodu [s]
µk = Taşıyıcı sistem için öngörülen süneklik kapasitesi
Dayanıma göre Tasarım için öngörülen süneklik kapasitesi- dayanım talebine bağlı olarak deprem yükü azaltma katsayısı ile dayanım fazlalığı katsayısı belirlenmektedir. Dayanıma Göre Tasarım’da, öngörülen süneklik kapasitesi’ne bağlı olarak, taşıma gücü yaklaşımı ile kesit tasarımı için, taşıyıcı sistemin sahip olması gereken tasarım dayanımı fd (µk ,T ) Aşağıdaki denklem ile tanımlanır:

Bu denklemde D , Dayanım Fazlalığı Katsayısı’nı göstermektedir. Bu katsayı ile, akma dayanımının tasarım dayanımına göre fazlalığı ifade edilmektedir.
Süneklik kavramı, temelde malzemelerin gerilme-şekil değiştirme eğrisinde geçici yer değiştirme ile kalıcı yer değiştirme bölgeleri arasındaki farka göre belirlenir. Örneğin betonarme bir konsol kolon üzerinde statik çevrimsel yükleme deneyi (itme - çekme) sonucu taban kesitinde elde edilen aşağıdaki eğride tipik doğrusal olmayan dayanım - yer değiştirme davranışı görülmektedir.

Deprem etkisi altında yapı elemanları yukarıdaki eğriye benzer davranış gösterir. Yapıyı sünek tasarlayabilmek için elemanların yapabildiği bu yer değiştirme kabiliyeti kullanılır.Örneğin aşağıdaki şekilde kesikli çizgi ile gösterilen davranış gevrek tasarlanan bir binayı, sürekli çizgi ise sünek binayı simgeler.

Dayanıma Göre Tasarım için kullanılan hesap yönteminin temeli, taşıyıcı sistemin sünek davranış göstermesi ve buna bağlı deprem yüklerinin azaltılmasıdır. Aşağıdaki eğride göreceğiniz gibi yapının doğrusal olmayan davranışı, eşlenik bir lineer sisteme çevrilmektedir. Kabul her iki eğri altındaki alanın eşit olması, yani binanın eşit enerji sönümleyebilmesi kabulüne dayanır.

Sae elastik spektral ivmeyi, m ise yapı ağırlığını temsil etmektedir.

Akma Dayanımı Azaltma Katsayısı Ry(µk,T) , eşit yerdeğiştirme kuralı uyarınca
Rijitliği fazla olmayan taşıyıcı sistemler için öngörülen süneklik kapasitesi µk ’ya eşit alınır:

Rijitliği fazla taşıyıcı sistemler için ise TBDY 2018’de aşağıdaki şekilde alınmıştır:

Taşıyıcı Sistem Davranış Katsayısı R , öngörülen süneklik kapasitesi µk ’ya, tanımlanan Dayanım Fazlalığı Katsayısı D ’ye ve Bina Önem Katsayısı I ’ya bağlı olarak tanımlanır:

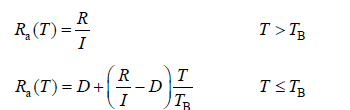
Dayanıma Göre Tasarım’da taşıma gücü yaklaşımı ile kesit tasarımı için, her bir taşıyıcı sistem türü için seçilen belirli sabit bir süneklik kapasitesine karşı gelen Deprem Yükü Azaltma Katsayısı Ra (T) Aşağıdaki şekilde tanımlanır;

Sonuç olarak Deprem Yükü Azaltma Katsayısı R(Ta ) , uygulamada kullanılmak üzere aşağıdaki denklemler ile ifade edilir:

Sonraki Konu
İlgili Konular