Binanın Göreli Kat Ötelemelerinin Hesabı ve Kontrolü
SİMGELER
D = Dayanım fazlalığı katsayısı
hi = i’inci katın yüksekliği
I = Bina önem katsayısı
R = Taşıyı sistem davranış katsayısı
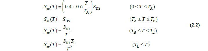
Sae(T) = Yatay elastik tasarım spektral ivmesi [g]
SaR(T) = Azaltılmış tasarım spektral ivmesi [g]
SDS = Kısa periyot tasarım spektral ivme katsayısı [boyutsuz]
SD1 = 1.0 saniye periyot için tasarım spektral ivme katsayısı [boyutsuz]
T = Doğal titreşim periyodu [s]
TA = Yatay elastik tasarım ivme spektrumu köşe periyodu [s]
TB = Yatay elastik tasarım ivme spektrumu köşe periyodu [s]
TL = Yatay elastik tasarım spektrumunda sabit yerdeğiştirme bölgesine geçiş periyodu [s]
ui = Herhangi bir kolon veya perde için, i’inci kattaki azaltılmış yerdeğiştirme
Δi = Herhangi bir kolon veya perde için, ardışık iki kat arasındaki yerdeğiştirme farkı
δi = Binanın i’inci katındaki kolon veya perdeler için etkin göreli kat ötelemesi
δi,max = Binanın i’inci katındaki kolon veya perdeler için etkin göreli kat ötelemesi
λ = Göreli kat ötelemelerinin sınırlandırılmasında kullanılan ampirik katsayı
κ = Betonarme ve çelik taşyıcı sistemler için farklı olarak kullanılan katsayı
Her iki yatay deprem doğrultusunda binanın herhangi bir i’inci katındaki kolon ve perdelerde, etkin göreli kat ötelemelerinin kat içindeki en büyük değeri δi,max TBDY 4.9.1.3’de verilen koşulları sağlamalıdır.
TBDY 2018 4.9.1.3’de bahsi geçen λ katsayısı, binanın gözönüne alınan deprem doğrultusundaki hakim titreşim periyodu için DD-3 deprem yer hareketi elastik tasarım spektral ivmesi’nin, DD-2 deprem yer hareketi elastik tasarım spektral ivmesine oranıdır. κ katsayısı, çelik binalar için 0.5 alınır.
Göreli kat ötelemesi hesabı ile ilgili detaylı bilgi Göreli Kat Ötelemesi Kontrolü Örnek Hesabı 'nda yer almaktadır.
Bina için taşıyıcı sistem ile duvarlar arasında esnek derz veya bağlantı mevcut durumunda izin verilen sınır değer seçimi yapılmıştır. Bu seçime göre çelik için κ=0.5 alınır ve sınır değer 0.008 olarak hesaplanmıştır.
Lamda Katsayısının Hesabı
DD-2 ön değerler
SDS =0.565
SD1 = 0.164
Ta = 0.2*SD1 /SDS = 0.2*0.164/0.565 =0.058
Tb = SD1 / SDS =0.389 / 1.112 =0.290
DD-3 ön değerler
SDS=0.221
SD1=0.068
Ta = 0.2*SD1 /SDS = 0.2*0.068/0.221 =0.00615
Tb = SD1 / SDS =0.155 / 0.475 =0.307
Dinamik analiz sonucu ilgili yön ile uyumlu en büyük modal katılım oranları okunarak X ve Y yönü için hakim titreşim periyodu belirlenir.

x yönü için Modal → T=1.08011 sn
y yönü için Modal → T=1.32680 sn
Sae(T) değerlerinin bulunması

X Yönü için Hesap
DD-2
T=1.08011 sn için
Ta= 0.058 < Tb= 0.29 < T=1.08011 -> Sae(T)=SD1/T = 0.152
DD-3
T=1.08011 sn için
Ta= 0.068 < Tb=0.307 < T=1.08011 -> Sae(T)=SD1/T= 0.063
Lamda = 0.063/ 0.152=0.4145
Y Yönü için Hesap
DD-2
T= 1.32680 sn için
T=0.058> Tb=0.29< T=1.32680 -> Sae(T)=SD1/T= 0.164/ 1.32680=0.1236
DD-3
T=1.32680 sn için
T=0.068> Tb=0.307< T=1.32680 -> Sae(T)=SD1/T= 0.068/ 1.32680=0.05125
Lamda = 0.05125 / 0.124=0.0.4146
NOT: Her iki yönde de tüm T değerleri Tb’den büyük olduğu için lamda katsayısı aslında her iki yer hareketi düzeyinin SD1 parametrelerinin oranına eşittir.
ideCAD’in hesapladığı değerler şu şekildedir:

Öncelikle her bir katta EX yüklemesinde en fazla yatay yer değiştirme yapan kolonun belirlenmesi gerekir. Bunun için perspektif ekran - analiz modeli görüntüleme - deformasyonlar - EX yüklemesi seçilir. Her bir katta kolon-kiriş düğüm noktasının X yönü yer değiştirmesi okunur ve aralarındaki farka bakılır. Kat içindeki en büyük değer göreli kat ötelemesi hesabında kullanılır.
Okunan bu değer ham değerdir. TBDY 2018 gereği ham değer, eşdeğer deprem yükü arttırma katsayısına göre arttırılmalıdır.
Binanın büyük olması nedeni ile bu işlem yapılmamış doğrudan deprem yönetmeliği raporunda yer alan ∆i değeri kullanılarak göreli kat ötelemesi hesabı aşağıdaki tabloda özetlenmiştir. Aşağıdaki tabloda sadece X +% 5 için kontrol yapılmıştır. Burada dikkat edilmesi gereken husus eşdeğer deprem yükü arttırma katsayısı ile bu sonuçların arttırılması gerektiğidir.
