Bina için Azaltılmış İç Kuvvetlerin ve Yer Değiştirmelerin Eşdeğer Taban Kesme Kuvvetine Göre Büyütülmesi
- Her iki doğrultu için yapılan bu hesaptan elde edilen X ve Y yönü βtE arttırım katsayıları TBDY 4.8.4 gereği üst bölüm elemanları için uygulanmaktadır. 
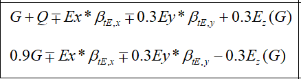
- Üst bölüme ait deprem etkisinde belirlenen iç kuvvet sonuçları ve yer değiştirmeler bu katsayı ile ideCAD tarafından otomatik arttırılır. Bu arttırım düşey deprem etkisi ve düşey yükler için geçerli değildir. Aşağıda yükleme kombinasyonları üzerinden arttırım gösterilmiştir. 

- Binanın X ve Y yönü için belirlenen katsayılar şu şekildedir: 

