Örnek Kolon Tasarımı
SİMGELER
Ac                    = Kolonun veya perde uç bölgesinin brüt enkesit alanı
Ack               = Sargı donatısının dışından dışına alınan ölçü içinde kalan çekirdek beton alanı
Ash               = Enine donatı aralığına karşı gelen yükseklik boyunca, kolonda tüm etriye kollarının ve çirozların enkesit alanı değerlerinin gözönüne alınan bk ’ya dik doğrultudaki izdüşümlerinin toplamı
bk                = Birbirine dik yatay doğrultuların her biri için, kolon veya perde uç bölgesi çekirdeğinin enkesit boyutu (en dıştaki enine donatı eksenleri arasındaki mesafe)
bw                 = Kolonun enine donatı hesabı doğrultusundaki genişliği
fck                 = Betonun karakteristik silindir basınç dayanımı
fctd             = Betonun tasarım çekme dayanımı  
fywk           = Enine donatının karakteristik akma dayanımı
Nd             = Yük katsayıları ile çarpılmış düşey yükler ve deprem yüklerinin ortak etkisi altında hesaplanan eksenel kuvvet
Ndm           = TS 498'de hareketli yükler için tanımlanmış olan hareketli yük azaltma katsayıları da dikkate alınarak, G ve Q düşey yükler ve E deprem etkisinin ortak etkisi G+Q+E altında hesaplanan eksenel basınç kuvvetlerinin en büyüğü
s                  = Enine donatı aralığı, spiral/sargı donatı adımı
ρ                 = Donatı oranı
ρs             = Kolonda spiral donatının hacimsel oranı
ϕ                 = Donatı çapı
E              = Deprem etkisi
Q             = Hareketli yük etkisi
G             = Sabit yük etkisi

- Örnek olarak binanın 11.katında yer alan S02 kolonu gösterilecektir. S02 kolonu 80*80 kesitli C35 B420C donatı içeren ve pas payı 4 cm olarak belirlenmiş bir yapısal elemandır. Hesapta kullanılan malzeme modeli aşağıdaki gibidir. 

Kolon Eksenel Kuvvet Kontrolü
- TBDY 7.3.1.2 gereği kolonun brüt enkesit alanı, Ndm TS 498’de tanımlanmış olan hareketli yük azaltma katsayıları da dikkate alınarak, G ve Q düşey yükleri ile E deprem etkisinin ortak etkisi altında G+Q+E yükleme durumunda hesaplanan eksenel basınç kuvvetlerinin en büyüğü kullanılarak Ac≥Ndm/(0.40fck) koşulunu sağlamalıdır. Aynı zamanda TS 500 7.4.1 kontrolününde sağlaması gerekir. 


- ideCAD’de betonarme tasarım - kolonlar sekmesinde 11.kat S02 kolonu için Kuvvetler -Donatı alanları başlığında tüm yükleme kombinasyonları incelenerek en büyük eksenel basınç kuvvetini G+Q+E durumu için ve tüm yükleme kombinasyonları içinden de 1.4G+1.6Q durumu için oluştuğu tespit edilmiştir. 
- ideCAD’den elde ettiğimiz kuvvetlerin şartları sağlayıp sağlamadığını ise şu şekilde kontrol edebiliriz. 

- Aşağıda ideCAD’den elde edilen kolon raporunda TBDY 7.3.1.2 kontrolünün yanı sıra TS 500 7.4.1'de yer alan kontrol de özetlenmiştir. 

- TS 500 içinde en büyük eksenel basınç kuvveti yükleme kombinasyonları içinden seçilecektir. TS 500 için yükleme kombinasyonunun deprem içermesi şartı mevcut değildir. 
- Hesaplanan değerlerin rapor ile uyumlu olduğu görülebilir. 
Kolon Enine ve Boyuna Donatılarının Tespiti
- Örnek olarak ele aldığımız kolon elemanının TBDY 7.3 gereğince önce minimum boyuna donatısı ve enine donatısı belirlenecektir. Bu donatılarla elde edilen eleman dayanımları, hesaptan elde edilen tasarım kuvvetleriyle karşılaştırılacaktır. Dayanım değerlerinin tasarım kuvvetlerinden daha küçük olması durumunda öngörülen donatılar revize edilerek gerekli eleman dayanım dayanımı elde edilecektir. 
- TBDY 7.3.4.1b maddesi gereği, Nd > 0.20Acfck (basınç) olması durumunda sarılma bölgelerindeki minimum toplam enine donatı alanı, aşağıda verilen koşulların elverişsiz olanını sağlayacak şekilde hesaplanır. 
- Aşağıda S1102 kolonu için yapılan hesaplar mevcuttur. 


Sarılma bölgesinde gerekli olan enine donatı max( Ash,1, Ash,2)=4.50 cm2
Öngörülen enine donatı planda 4 kol Φ12 =4.52 cm2
Düşeyde seçilen etriye aralığı 100 mm (TBDY 7.3.4.1a)
- Kolonlarda minimum boyuna donatı alanı, brüt kesitinin % 1’inden az olamaz. (TBDY 7.3.2.1) 

-Öngörülen boyuna donatı 20 adet Φ22=76 cm2, pursantaj ρ=% 1.18
- Minimum enine ve boyuna donatı için önerilen donatıların uygunluğu aşağıda kontrol edilmiştir. 
Kolon Enine Donatı Kontrolü
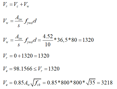
- TBDY 7.3.7.5 gereği kolonların enine donatı hesabında esas alınacak kesme kuvveti Ve, düşey yükler ile birlikte Dayanım Fazlalığı Katsayısı, D ile arttırılmış depremden hesaplanan kesme kuvveti Vd olarak kullanılır ve ayrıca aşağıdaki koşulları sağlaması gerekir. 

- Kolon enine donatısının Ve kesme kuvvetine göre hesabında, betonun kesme dayanımına katkısı Vc, TS 500’e göre belirlenecektir. Ancak TBDY 7.3.7.6 gereği kolon sarılma bölgelerindeki enine donatının hesabında, sadece deprem yüklerinden oluşan kesme kuvvetinin depremli durumdaki toplam kesme kuvvetinin yarısından daha büyük olması ve aynı zamanda Nd≤0.05Acfck koşulunun sağlanması halinde, betonun kesme dayanımına katkısı Vc=0 alınır. 
- Aşağıdaki değerler betonarme tasarım - kolon -11.KAT S02 kolonundan elde edilmiştir. 
-VG'+Q' =14.2145 kN
-D*VE=80.8336 kN
-VG'+Q+D*VE+0.3Ez(G)=98.1566 kN
-VE/Ve = 80.8336/98.1566=0.82 >0.50
-Nd=1031.67 kN

- Yukarıdaki koşullar neticesinde Vc=0 olacak ve betonun kesme katkısı hesaplarda kullanılmayacaktır. 

- TBDY 7.3.4.1b gereği yukarıda yapılan hesaplamalar sonucu enine donatı miktarının kolonların kesme güvenliğini sağladığı görülmüştür. 

- Yukarıdaki tabloda kolon raporları kesme donatısı hesabı bölümündendir. Elle kontrol ile rapor uyuşmaktadır. 
Kolon Boyuna Donatı Kontrolü
- Öngörülen kolon boyuna donatıları için oluşturulan akma yüzeyinde, tasarımda düşey ve deprem yüklerinin ortak etkisi altında her bir yük kombinasyonu için elde edilen normal kuvvete karşılık M2-M3 etkileşim diyagramı elde edilmiştir. Kolonun alt ve üst ucunda elde edilen moment değerlerinin bu diyagramın içinde kalıp kalmadığı kontrol edilir. TBDY 2018 7.3.2.1 gereği öngörülen boyuna donatı miktarı hesaplardan elde edilen tasarım değerlerini sağlamaktadır. 
- Aşağıda ideCAD’den elde edilen kapasite diyagramları bölümü sonuçları yer almaktadır. 


- Arayüzde tüm yükleme kombinasyonları altında P-M2-M3 diyagramları kontrol edilebilinir. Kolon alt ve üst ucunda elde edilen moment değerleri diyagramın içinde kalmaktadır. 
- Kolon raporunda ise betonarme hesap bölümünde ilgili kuvvetler ile birlikte donatı alanları verilir. 

Sonraki Konu
