Başlangıç Adımı ve Birbirine Dik Deprem Doğrultuları (5.2.2)
Taşıyıcı sistem elemanlarının değerlendirilmesin yatay deprem etkisi Ed(H) 'nin belirlenmesi için kullanılan Hareketli Yük Kütle Katılım Katsayısı, n 4.4.2.1 ‘e göre Denklem 4.9 ‘a göre kullanıcı denetimine bağlı olarak seçilmektedir.
Yatay deprem etkisinin belirlenmesinde kullanılan Hareketli Yük Kütle Katılım Katsayısı, n kullanıcı tarafından seçildikten sonra itme analizi ideCAD tarafından otomatik olarak yapılmaktadır.
Statik düşey yükler, taşıyıcı sisteme artımsal olarak uygulanan ikinci mertebe etkilerinin gözönüne alındığı doğrusal olmayan statik hesap otomatik olarak uygulanmaktadır. Bu hesaptan elde edilen iç kuvvetler ve şekildeğiştirmeler itme analizinin başlangıç koşulu otomatik olarak göz önüne alınmaktadır.
Yeni yapılacak olan binalarda ve mevcut binaların değerlendirilmesinde, doğrusal olmayan şekildeğiştirmeler başlangıç koşulu olarak otomatik gözönüne alınır.
SİMGELER
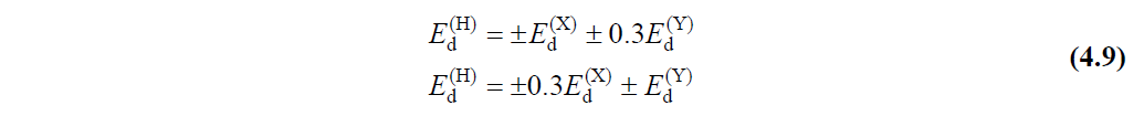
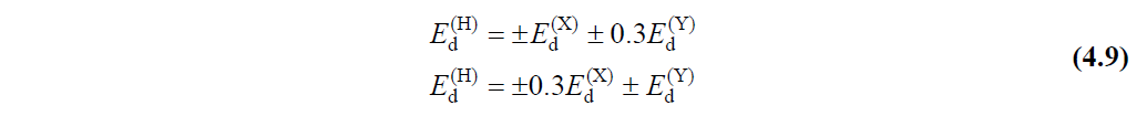
Ed(H) = Doğrultu birleştirmesi uygulanmış tasarıma esas yatay deprem etkisi
Ed(X) = (X) doğrultusundaki deprem etkisi
Ed(Y) = (Y) doğrultusundaki deprem etkisi
Ed(Z) = Düşey deprem etkisi
G = Sabit yük etkisi
n = Hareketli yük katılım katsayısı
Q = Hareketli yük etkisi
Qe = Etkin hareketli yük etkisi
S = Kar yükü etkisi
TBDY Madde 5.2.2.1 'de açıklandığı üzere deprem etkisinin düşey yük etkisi ile birleştirilmesi aşağıdaki denklem ile yapılmaktadır.

Bu denklemge G sabit yük etkisini, Qe etkin hareketli yük etkisini, S kar yükü etkisini, Ed(Z) düşey deprem etkisini, Ed(H) yatay deprem etkisini göstermektedir.
Qe etkin hareketli yük etkisi, TBDY Tablo 4.3 ile tanımlanan Hareketli Yük Kütle Katılım Katsayısı, n kullanılarak hesaplanmaktadır. Q hareketli yük etkisi olmak üzere Qe = nQ olarak hesaplanmaktadır.

Ed(H) yatay deprem etkisini temsil etmektedir. Eğer yapıya Şekildeğiştirmeye Göre Değerlendirme ve Tasarım (ŞGDT) yaklaşımı uygulanıyor ise yatay deprem etkisi TBDY Madde 5.2.2.3 ‘de olduğu gibi tanımlanmalıdır. Eğer sisteme TBDY Bölüm 5.6 'da verilen İtme Yöntemleri ’nden herhangi bir tanesi uygulanıyor ise Ed(H), ( X ) ve ( Y ) doğrultularında deprem etkileri ayrı ayrı hesaplanır ve daha sonra TBDY Bölüm 4.4.2.1 'e göre birleştirilir. TBDY Bölüm 4.4.2.1 'e göre yatayda birbirine dik ( X ) ve ( Y ) doğrultularında tanımlanan deprem etkileri Denk.(4.9) 'da tanımlandığı gibi birleştirilir.

Bu durumda herhangi bir yapıya itme analizi yapıldığında 8 farklı itme hesabı ortaya çıkmaktadır. Örneğin kar yükünün olmadığı bir konut (n=0.3) yapısına uygulanan itme analizi kombinasyonları aşağıdaki gibi olmalıdır.
G+0.3Q+Ed(X)+0.3Ed(Y)+0.3Ed(Z) G+0.3Q+Ed(Y)+0.3Ed(X)+0.3Ed(Z)
G+0.3Q+Ed(X)-0.3Ed(Y)+0.3Ed(Z) G+0.3Q+Ed(Y)-0.3Ed(X)+0.3Ed(Z)
G+0.3Q-Ed(X)+0.3Ed(Y)+0.3Ed(Z) G+0.3Q-Ed(Y)+0.3Ed(X)+0.3Ed(Z)
G+0.3Q-Ed(X)-0.3Ed(Y)+0.3Ed(Z) G+0.3Q-Ed(Y)-0.3Ed(X)+0.3Ed(Z)
TBDY Madde 5.2.2.2 'ye göre eğer yapıya Şekildeğiştirmeye Göre Değerlendirme ve Tasarım (ŞGDT) yaklaşımı uygulanıyor ise, doğrusal olmayan hesap yöntemleri ile yapılacak deprem hesabın (herhangi bir itme analizi veya zaman tanım alanında doğrusal olmayan analiz) 'dan önce Ed(H) dışındaki statik düşey yüklerin taşıyıcı sisteme artımsal olarak uygulandığı doğrusal olmayan statik hesap yapılacaktır. Bu hesaptan elde edilen iç kuvvetler ve şekildeğiştirmeler yatay deprem hesabında başlangıç değeri olarak gözönüne alınır. Bu durumda düşey yüklerden kullanılarak uygulanan doğrusal olmayan statik hesap aşağıdaki yükleme durumuna göre yapılmaktadır. Bu analiz sonucunda elde edilen iç kuvvetler ve şekildeğiştirmeler yatay deprem hesabının başlangıç değeri olarak dikkate alınmaktadır.
G+nQ+0.2S+0.3Ed(Z)
Bu yükleme durumunda n yukarıda anlatıldığı üzere Hareketli Yük Kütle Katılım Katsayısıdır ve Tablo 4.3 'den hesaplanmaktadır. Örneğin kar yükünün olmadığı bir konut (n=0.3) yapısına itme analizi uygulanmadan önce başlangıç adımı (i=0) olarak aşağıdaki yükleme durumu altında artımsal olarak uygulanan doğrusal olmayan statik hesap yapılmaktadır.
G+0.3Q+0.3Ed(Z)
Yapılan bu doğrusal olmayan statik hesap içerisinde yapının geometri bakımından ve malzeme bakımından doğrusal olmayan davranışı dikkate alınmaktadır.

Geometri bakımından doğrusal olmayan analizde yapı elemanlarında oluşan eksenel kuvvetler sebebi ile ortaya çıkan ikinci mertebe etkileri dikkate alınmaktadır. İkinci mertebe etkileri p-δ ve p-Δ olarak ikiye ayrılmaktadır. Yandaki şekilde bir elemanda p-δ ve p-Δ etkilerinin nasıl olduğu temsili bir şekilde gösterilmiştir. p-δ etkisi elemanın üzerindeki eksenel basınç kuvvetinin, elemanın kendi eğriliği sebebi ile oluşan δ deplasmanını artırmaya çalışmasından ötürü oluşmaktadır. p-Δ etkisi ise elemanın düğüm noktalarının yaptığı yerdeğiştirmeler sebebi ile eksenel basınç kuvveti elemanda ek momentler oluşturmaktadır. p-Δ aşağıdaki resimde daha detaylı açıklanmıştır.

Malzeme bakımından doğrusal olmayan analizin detayları Yığılı Plastik Davranış Modeli ve Yayılı Plastik Davranış Modeli başlıkları altında detaylıca anlatılmıştır. TBDY Madde 5.2.2.2 'ye göre eğer düşey yükler, G+nQ+0.2S+0.3Ed(Z) etkisi altında yapılan doğrusal olmayan analizde bir plastikleşme durumu söz konusu ise yeni binalarda ve güçlendirilen binalarda bu duruma izin verilmemektedir. Ancak mevcut binaların değerlendirilmesi için ŞGDT yaklaşımı uygulanıyorsa doğrusal olmayan şekil değiştirmeler (plastik mafsallar) başlangıç değeri olarak gözönüne alınmaktadır.
Sonraki Konu